用户登陆
EN
+
网站首页
学院概况
学院现状
愿景使命
学院领导
学院历史
历任领导
学院机构
农林经济系
工商管理系
管理科学与工程系
应用经济学系
会计学系
学院办公室
教学管理中心
学生工作办公室
经济管理实验中心
师资力量
全职教师
特聘/兼职教授
荣退教师
科学研究
学术动态
科研项目
科研论著
科研获奖
科研团队
科研机构
最新成果
教授观点
学术活动
人才培养
本科
硕士
博士
MBA
MPAcc
MF
MA
MFE
二学历
博士后
PFUT
案例中心
党群建设
组织机构
党建学习
通知公告
支部风采
党校工作
工会工作
学生工作
团学工作动态
招聘就业信息
学生事务管理
文件制度汇编
研究生工作动态
校友工作
校友新闻
活动通告
校友名录
校友风采
校友捐赠
联系我们
校友信息登记
诚邀加盟
用户登陆
>> 搜索结果
站内搜索
搜索结果
搜索结果
请输入关键词搜索
首页
网站栏目
通知公告
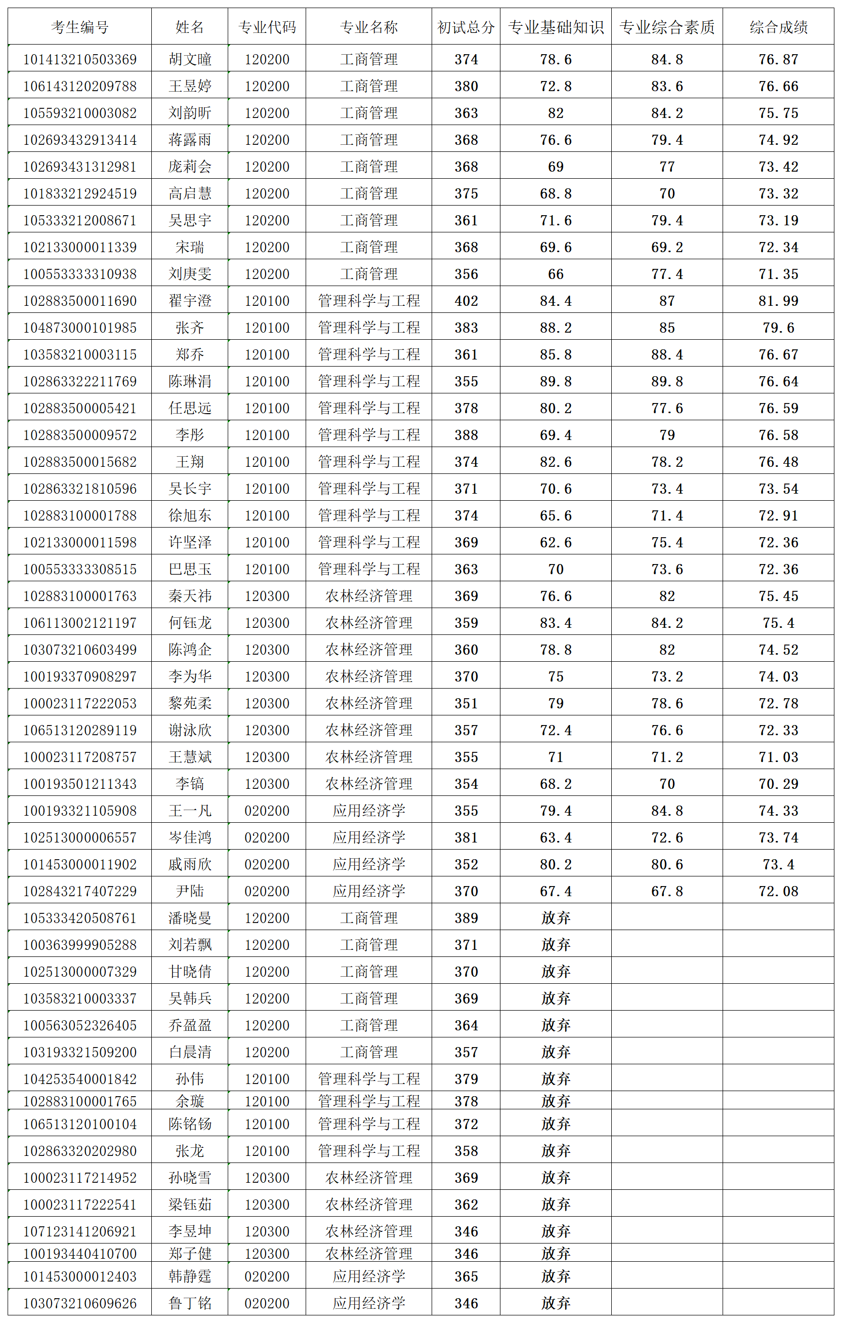
2023年南京林业大学学硕调剂复试成绩公布
更新时间:2023-04-08
点击次数:
4023
最新信息
2025-07-07
经济管理学院学生意见邮箱
2026-01-18
经济管理学院2026年博士研究生“申请-考核”制招生实施细则
2025-11-19
2025年经济管理学院“97521会计精英助学金”评定细则
2025-10-31
2024-2025学年先进研究生评比暨各项奖学金名单公示
2025-10-23
《南京林业大学经济管理学院先进本科生评选细则 (2025版)》公示
2025-10-23
经济管理学院2025年本科生国家励志奖学金评比细则公示