搜索结果
请输入关键词搜索
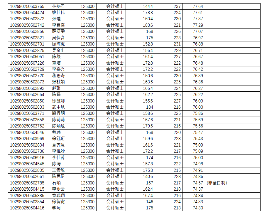
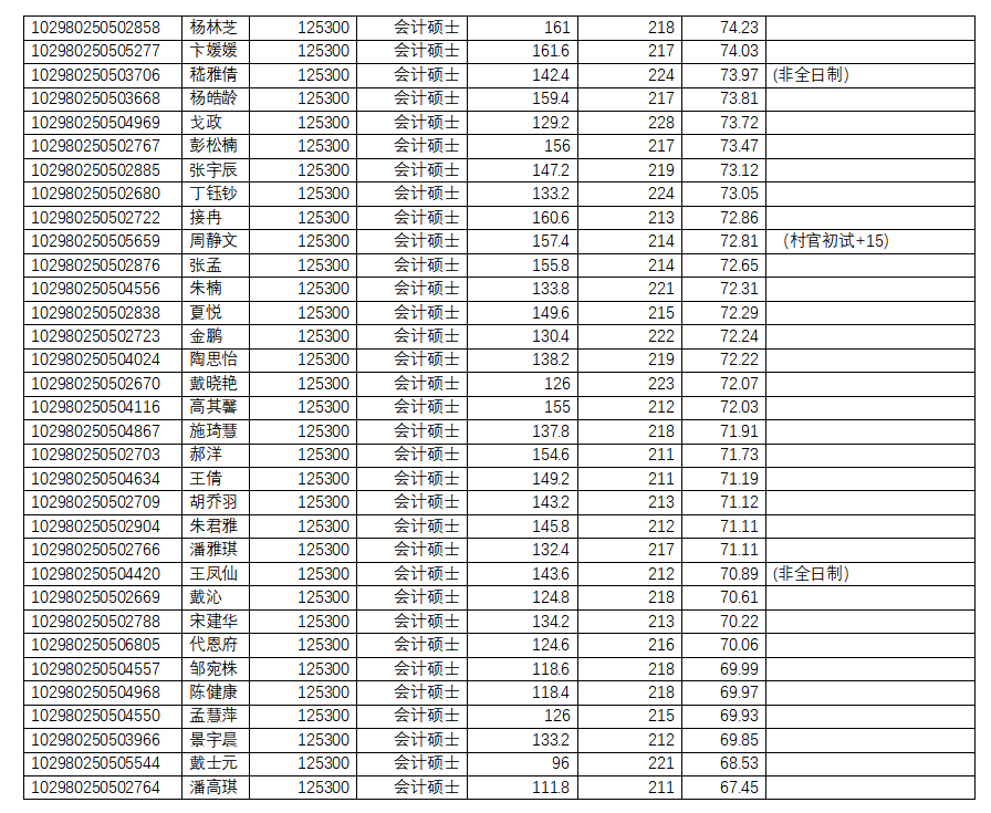
经济管理学院按照学校和本院工作安排,完成2020年会计硕士研究生一志愿的复试、复核工作,现将成绩予以公示。公示期自公示之日起3个工作日。如有异议,于公示期内通过书面实名方式向学院反映,电话025-85428100。

